炒股就看金麒麟分析师研报,权威,专业,及时,全面,助您挖掘潜力主题机会!

  郭磊宏观茶座 广发证券资深宏观分析师 陈礼清 博士

  报告摘要

  第一,在不同的宏观环境下有效控制风险,降低波动率、取得相对稳健的回报成为资产管理市场越来越主流的诉求。前期报告《解读“全天候”策略》是我们对这一问题进行探讨的序章。与传统普通资产风险平价模型不同,“全天候”更精准的定位是“宏观因子”风险平价,“全天候”策略穿越周期的实现路径是均衡化“宏观因子”。传统配置模型并不会根据宏观场景的变化而及时调整权重,在市场遭遇极端冲击时,其分散风险的功能往往被大幅削弱。比如流动性危机发生时,资产面临系统性的抛压,尾部风险会大幅推升资产之间的相关性,传统配置模型就会失效。而“宏观因子”相较普通大类资产相关性更低,可以更有效地实现“降维”、归因,及权重调整。本文尝试将类似“全天候”的因子配置模式在中国市场中落地,扩展出适合国内市场的宏观因子,构建本土化的宏观因子风险平价配置框架。

  第二,搭建宏观因子配置框架要做哪些工作?我们参照对哈佛捐赠基金(HMC)影响较大的Blyth(2016)的研究,分成四步:一是“筛选因子”,宏观因子的“适配度”直接决定了后续进行平价优化是否真正识别和分散了风险。二是“计算风险暴露”,即搭建“因子”与“资产”的量化桥梁,利用线性回归模式测算出资产对因子的风险暴露程度。三是“确定”目标风险暴露,即先按照某一法则或偏好确定对各因子风险暴露多少是合适的;四是“匹配”目标风险暴露,即利用最优化框架反推资产权重。

  第三,构造宏观因子的主流做法分为三种。方式一是直接用低频经济数据,比如GDP、PPI等,这种做法经济意义比较直观,但对资产价格的解释存在时变性;方式二是主成分分析降维(PCA),这种做法简便、客观、更具因子分散效果,但不稳定、经济意义弱、权重不唯一;方式三是通过回归的方法拟合出更高频的宏观因子,这种做法高频、可交易,但需要先设定宏观维度,事先构建低频因子作为锚,复杂度较高。我们在上述三种方法的基础上做出改进,结合上述几种方法优点,构造更灵敏的宏观因子。我们的方法可总结为“定维度、筛资产、高频化”三个步骤。具体而言,我们利用PCA识别宏观维度,利用资产多空模拟组合进行“高频化”,利用因子多寡分层次设计“轻量化”(类全天候)、“三维度”(M1-BCI-PPI框架)、“广谱性”(多因子)三套宏观因子平价方案。

  第四,在上述思路的基础上,借鉴Kelly(2014)的做法,我们对自2017年至今的股债商汇共10种大类资产日收益率数据进行主成分降维,发现前六大主成分、前七大主成分分别解释了资产价格波动的82%、89%。通过各主成分在资产上的载荷系数方向与大小比较,我们发现在不包含美股的大类资产组合中,国内增长、通胀、利率、汇率、信用是核心的五大宏观风险;若包含美股,再额外加入海外经济风险因子。我们从经济逻辑出发构造原始低频(月频)宏观因子,以M1、BCI、PPI分别作为流动性、增长、通胀因子的代理变量。出于稳健性考量,我们亦尝试综合PMI与BCI两个景气指标来丰富“增长维度”,通过拆分消费品通胀(融合CPI同比与BCI消费品前瞻指数)与工业品通胀(融合PPI同比与BCI中间品前瞻指数)来细化“通胀维度”。

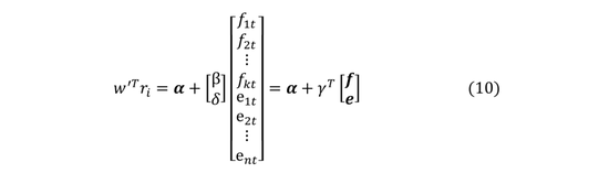
  第五,接下来,如何将“低频”宏观因子转化为“高频”因子体系?我们借鉴因子模拟(Factor Mimicking)法。首先是以资产价格收益率为自变量,低频宏观因子为因变量进行逐步单变量一元回归,筛选与每个维度因子强相关的大类资产。然后是“高频化”合成。我们构建了滚动窗口期的多元领先滞后回归模型,将归一化处理后的回归系数与高频资产价格周环比或日环比交乘,得到高频宏观因子。以增长因子为例,模拟组合为做多螺纹钢期货、恒生指数、南华沪铜指数;而工业通胀因子的高频模拟组合为做多CRB工业原料现货指数、螺纹钢期货、WTI原油期货以及做空中证国债及政策性金融债7-10年。通过资产多空模拟组合获得了8个可供使用的宏观高频因子池,即利用回归方式将“不可交易”的宏观原始指标转化为“高频、具有拟合度、可交易”的宏观因子收益率。

  第六,然后,如何搭建“因子”与资产的桥梁?我们利用资产收益率对各因子收益率进行时序线性回归,得到资产对因子的风险暴露矩阵。该矩阵直观显示了资产对不同宏观变量的敏感度。我们的估计方式为带约束的稳健OLS回归,并且使用滚动窗口与随机重抽样方式确定系数,以便于捕捉敏感度的时变动态特征。首先上述因子均通过了低多重共线性检验,各因子的方差膨胀系数(VIF)均处于1.0~1.5之间(显著小于5),并且因子间相关系数较低,多数绝对值小于0.1。其次矩阵系数显示,大盘股(沪深300为代表)相对中盘股(中证500为代表)对经济增长更敏感,而中盘股对流动性环境更敏感;恒生指数有相似特征,并且对汇率因子(美元指数日收益率)有着一定负向暴露;标普500对美国经济因子有显著正向暴露等。方程的R方大小表示因子体系对某一资产价格的解释力度。股债资产的R方较大(利率债为0.93、企业债为0.57、沪深300为0.6、中证500为0.86),表明宏观主导驱动的特征较明显。伦敦金现、布伦特原油期货、美元兑人民币中间价相对靠后,R方分别为0.48、0.43、0.44,表明除宏观因子体系以外的特质性因子亦会参与定价,比如OPEC+增产节奏、地缘风险,逆周期调节因子等。通过风险暴露矩阵的“桥梁”,我们将“因子”代替“资产”的角色代入前期报告中的风险平价框架,获得符合“每一因子对整个组合的风险贡献相等”条件下的资产配置比例。

  第七,首先是“轻量化”方案。由于多资产收益率被压缩至“增长、通胀”两因子,该风险平价框架较为简洁。回测结果显示“增长、通胀”因子风险平价给出了一个不加杠杆的更优收益实践方式。2016年以来,该方案年化收益7.7%,年化波动率5.4%,夏普比率1.14,最大回撤8.5%。而相同资产、相同时段,运用简单资产维度的风险平价策略、全资产等权重策略、波动率倒数加权的策略年化收益分别为4.6%、4.8%、4.7%,年化波动率分别为1.5%、8.7%、1.7%,夏普比率分别为2.09、0.38、1.83,最大回撤分别为2.5%、14.2%、2.8%。从上述结果来看,简单的资产风险平价组合虽然仍具有最高夏普,但稳健有余,弹性不足,也正因此,简单资产维度风险平价往往需要依赖“加杠杆”来放松一定波动率约束,来获得增厚收益;而“增长、通胀”因子平价策略收益率的提升在没有杠杆的情况下进行,并且没有带来波动率的大幅度提升,年化波动率均维持在5%附近,兼顾了收益与风险。从明细权重横向看,由于模型仍基于“风险平价”框架,波动率更低的债性资产仍在长时间序列上占大头。自2016年以来债券资产平均权重为54.6%,其中利率债占比为20.9%,信用债占比为33.8%;权益资产平均权重为10.2%,其中A股资产平均权重为5.2%,港股资产平均权重为5.0%;商品资产平均权重为20.3%;黄金资产平均权重为5.7%。纵向看,近年A股、港股资产的权重提示有所上升,分别自2022年的0.1%、0.3%年均权重上升至2024年以来的3.1%、7.8%;而债券资产权重有所回落;黄金资产权重则有所上升。

  第八,然后是“三维度”方案。“M1-BCI-PPI”三因子风险平价策略2016年以来的年化收益为9.0%,年化波动率为7.8%,夏普比率为0.96,与“BCI-PPI”的轻量化配置模型基本相当,但收益更具优势。该策略优势主要集中在2016年-2019年,2020年以来与简单资产风险平价的收益基本相当。若拆分通胀为“工业通胀、消费通胀”,则在2020年以来同样具有8.4%的年化收益,主要在于规避了2020年上半年的大类资产价格较明显回调的风险。从资产明细权重来看,该模型在各个资产的分配权重与“增长+通胀”双轮模型大体一致,但更为分散。债性资产仍占相对大头,但有所下降,2016年以来债券资产平均权重为47.8%(轻量化模型中的占比为54.6%);权益资产中港股资产权重增加,平均为8.8%(轻量化模型中的占比为5.0%)。商品资产占比亦有所增加,“南华农产品+南华沪铜+原油”平均权重为24.9%(轻量化模型中的占比为20.3%)。纵向规律与轻量化模型近似,近年A股、港股资产、黄金等权重同样提示上升,债券资产权重有所回落。

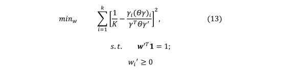
  第九,然后是“广谱性”方案。从策略回测结果来看,不考虑“美国名义增长因子”的宏观多因子风险平价策略自2016年以来的年化收益为7.5%,年化波动率为4.0%,夏普比率为1.49。收益与轻量化配置模型相近,略低于三因子配置模型,但夏普更具优势(1.49 > 1.14 > 0.96)。若加入标普500,在收益与波动率均有所下降,夏普比率保持在1.4附近。值得注意的是,近年来在国内运用多因子平价与简单资产平价的差异趋于减小,这可能反映了近年来国内股债、商品、黄金等多资产因主要受宏观因素驱动而本身就能反映某一类宏观风险,资产间的相关性趋于下降。换言之,近年以国内股债融合黄金、商品等的大类资产池本身就对“风险平价”配置框架的适用性上升。从横截面上看权重,因子考察维度更多后,配置框架更接近“简单资产风险平价”框架,债券类资产占比重新上升,自2016年以来的占比是61.9%;权益类资产的占比下降到了5%附近。纵向规律上也略有不同,近年权益资产权重变化不大,债券资产权重有所下降。简而言之,对于整个策略的波动而言,多因子风险平价配置模型让策略回报在时序维度更稳健、更分散;但在资产横向配比维度,而且因为债性资产的“低波”优势,重新给予更集中的权重。这也是在策略效果比较中,我们看到它波动率更低,具有三套因子配置模型中最高夏普(1.49 > 1.14 > 0.96)的原因。

  第十,简单总结宏观因子风险平价框架。因子并不是越多越好,因子体系亦不是越复杂越有效,选择哪一种方式,应与当下的宏观环境、资产定价范式以及投资者在意的侧重点相互适配。仅有“增长、通胀”因子的“轻量化”的类全天候配置框架简洁,并且更具收益优势,部分解决了简单的资产风险平价组合稳健有余、弹性不足,需要依赖于“加杠杆”放松波动率约束才能获得增厚收益的问题。“三维因子”风险平价框架进一步放松了对夏普比率的要求,收益更具优势,资产配比更为分散。更具广谱性的宏观多因子配置框架的完整性更高,考虑风险层次更多,具有更高的夏普优势,但也由于风险考虑更多,平价优化后的资产配比上反而更向债性资产集中,收益优势并不明显,近年表现与简单资产风险平价趋于一致。

  第十一,最后,宏观因子风险平价框架有值得思考和改进的三个方向:一是该方案简化大类资产是宏观因子的线性函数,“线性”假设在未来值得商榷;二是高频化宏观因子过程存在缺陷,方法论从“因子投资”得到借鉴,但单一市场具有定价的统一性,拓宽至大类资产维度,直接用统一的多空模拟组合来表达各个资产世界里面的某一个宏观因子可能有待改善;三是风险暴露矩阵的估计似乎面临“动态性”与“稳健性”的互斥关系,如何兼顾平衡两者亦值得思考。

  报告简版

  (简版13158字)

  第一

  在不同的宏观环境下有效控制风险,降低波动率、取得相对稳健的回报成为资产管理市场越来越主流的诉求。前期报告《解读“全天候”策略》是我们对这一问题进行探讨的序章。与传统普通资产风险平价模型不同,“全天候”更精准的定位是“宏观因子”风险平价,“全天候”策略穿越周期的实现路径是均衡化“宏观因子”。传统配置模型并不会根据宏观场景的变化而及时调整权重,在市场遭遇极端冲击时,其分散风险的功能往往被大幅削弱。比如流动性危机发生时,资产面临系统性的抛压,尾部风险会大幅推升资产之间的相关性,传统配置模型就会失效。而“宏观因子”相较普通大类资产相关性更低,可以更有效地实现“降维”、归因,及权重调整。本文尝试将类似“全天候”的因子配置模式在中国市场中落地,扩展出适合国内市场的宏观因子,构建本土化的宏观因子风险平价配置框架。

  资产和因子的关系类似于食物与营养元素(Andrew Ang,2010)。组合收益本质是承担市场中不同风险而获得的补偿(Sharpe, 1964;   Lintner, 1965; Ross, 1976)。因子风险平价(Factor Risk   Parity)其首次作为学术概念系统论述出现在Attilio Meucci   2009年的论文中,其通过主成分分析(PCA)提取资产收益协方差矩阵在统计意义上不相关因子,并以此构建分散性的投资组合。Qian(2012、2016)亦指出风险平价模型的重点应是“风险”,而不是平价公式,对“风险”的理解该回到更为本质的“宏观”层面,而不是简单的资产波动率。

  在前期报告《解读“全天候”策略》中,我们借鉴钱恩平(2005)的做法尝试构建了基于国内ETF(资产维度)的风险平价模型,该模型通过将每类资产在组合中的风险贡献度均等化来优化组合夏普,再通过杠杆来提升年度收益,最终在目标波动率为6%的约束下,基于传统的资产风险平价组合可以获得自2015年以来6.4%的年化收益,0.92的夏普比率。

  资产间的低相关性是传统配置模式能获得“免费午餐”的核心要素。而在实际操作中,当市场遭遇极端冲击,出于流动性的考虑,多类资产可能面临系统性的抛压,进而尾部风险推升资产相关性大幅度上升,传统配置模式的分散性就会失效。“宏观风险因子”相较普通大类资产相关性亦更低,同时这是一个“化繁为简”的过程。从数理上看,该过程将涵盖较多资产数量的资产空间降维至更小更具共性的几个因子空间。

  因子配置模型还可以做到更好地归因,一方面辅助分解收益来源,另一方面,我们还可以主观根据对未来的宏观场景的预判调整资产权重,而传统基于资产的配置方式仅从资产的风险收益特征出发,资产权重调整并不能反映宏观变化。

  第二

  搭建宏观因子配置框架要做哪些工作?我们参照对哈佛捐赠基金(HMC)影响较大的Blyth(2016)的研究,分成四步:一是“筛选因子”,宏观因子的“适配度”直接决定了后续进行平价优化是否真正识别和分散了风险。二是“计算风险暴露”,即搭建“因子”与“资产”的量化桥梁,利用线性回归模式测算出资产对因子的风险暴露程度。三是“确定”目标风险暴露,即先按照某一法则或偏好确定对各因子风险暴露多少是合适的;四是“匹配”目标风险暴露,即利用最优化框架反推资产权重。

  Blyth(2016)提出了“基于因子的灵活资产配置模型”(Flexible Indeterminate Factor-based Asset   Allocation, FIFAA),并成为哈佛捐赠基金(Harvard   Management Company, HMC)在2015年9月之后转向“因子化思维”的策略载体。从事后回溯来看,在FIFAA策略模式下,哈佛捐赠基金近十年、近五年的平均年度回报分别为8.1%、10.4%。

  “筛选因子”是选择及生成适合本土大类资产的宏观因子。宏观因子的“适配度”直接决定了后续进行平价优化是否真正识别和分散了风险。“计算风险暴露”,通常是利用线性回归模式测算出资产对因子的风险暴露程度。

  “确定目标风险暴露”,即按照某一法则或偏好确定对各因子风险暴露多少是合适的,若是采用因子风险平价思路,该步骤是通过“各个因子对组合的风险贡献度一致”这一优化过程来设定目标风险暴露。

  “匹配目标风险暴露”,若第三步的目标因子风险暴露为主观设定,则该步骤为利用最优化框架(如Blyth最优化框架、Greenberg最优化框架)反推出资产权重;若为因子风险平价,则直接根据符合因子风险平价条件与风险暴露矩阵重新回到资产层面确定组合内部的资产配比。

  第三

  构造宏观因子的主流做法分为三种。方式一是直接用低频经济数据,比如GDP、PPI等,这种做法经济意义比较直观,但对资产价格的解释存在时变性;方式二是主成分分析降维(PCA),这种做法简便、客观、更具因子分散效果,但不稳定、经济意义弱、权重不唯一;方式三是通过回归的方法拟合出更高频的宏观因子,这种做法高频、可交易,但需要先设定宏观维度,事先构建低频因子作为锚,复杂度较高。我们在上述三种方法的基础上做出改进,结合上述几种方法优点,构造更灵敏的宏观因子。我们的方法可总结为“定维度、筛资产、高频化”三个步骤。具体而言,我们利用PCA识别宏观维度,利用资产多空模拟组合进行“高频化”,利用因子多寡分层次设计“轻量化”(类全天候)、“三维度”(M1-BCI-PPI框架)、“广谱性”(多因子)三套宏观因子平价方案。

  构造宏观因子的主流做法分为三种:一是直接利用低频经济数据作为宏观因子,如使用实际GDP、PPI等来代表增长、通胀因子。二是采用统计方式从资产中直接提取(比如主成分分析降维)。该方法将资产波动降维至几个线性无关的主成分(公因子),避免了“维度灾难”。三是基于资产的多空组合构建与低频宏观数据最吻合的宏观模拟组合来代替因子(Factor   Mimicking)。利用模拟组合来刻画高频因子本质是剥离出市场主体在资产价格中对于某一宏观指标的计价交易程度(Price in程度)。并且资产价格日频波动,对宏观指标的高频化也可以达到日频程度。理论上,越是临近某一关键宏观数据公布,相对应的日频宏观模拟组合也或将发生明显边际变化,较为灵敏地反映市场计入的预期变化。

  方法一低频且公布滞后,虽有经济含义,但对资产价格的解释力度存在时变性。后两种方式的假设是宏观因子虽不可交易,但是隐藏于大类资产表现中,可以从资产价格或者资产组合反推得到更高频的实时因子。其中PCA提取后的主成分暴露系数并不稳定,权重亦不唯一,提取后的公因子并不具有明显的经济逻辑。但好处在于PCA提取的主成分具有统计意义的不相关性,能更好的分散风险,可辅助判断需考量的资产宏观维度。

  方法三是以低频的宏观指标作为因变量,以与宏观指标具有“强相关”的资产价格作为自变量构建回归模型,最终通过回归系数与自变量交乘拟合出更为高频的宏观因子。其中若资产与因子逻辑对应关系较为直接,则直接采用该资产价格作为某一因子的代理指标。

  我们结合后两种方法优点来构造更为灵敏的高频宏观因子,进一步可以总结为三个步骤——“定维度、筛资产、高频化”:即利用PCA识别驱动大类资产收益率变化的主要宏观成分;进一步筛查与每个维度因子强相关的大类资产;最后使用资产模拟组合来构造高频宏观因子。

  此外,为了兼顾策略效率与全面性,我们在后文尝试按照因子多寡的复杂度以递进方式分别构建三套方案:(1)只考虑“增长+通胀”双轮的类全天候“轻量化”模型;(2)兼顾“增长、通胀、流动性”的三维风险平价配置模型;(3)更具广谱性的多因子宏观风险平价框架。

  第四

  在上述思路的基础上,借鉴Kelly(2014)的做法,我们对自2017年至今的股债商汇共10种大类资产日收益率数据进行主成分降维,发现前六大主成分、前七大主成分分别解释了资产价格波动的82%、89%。通过各主成分在资产上的载荷系数方向与大小比较,我们发现在不包含美股的大类资产组合中,国内增长、通胀、利率、汇率、信用是核心的五大宏观风险;若包含美股,再额外加入海外经济风险因子。我们从经济逻辑出发构造原始低频(月频)宏观因子,以M1、BCI、PPI分别作为流动性、增长、通胀因子的代理变量。出于稳健性考量,我们亦尝试综合PMI与BCI两个景气指标来丰富“增长维度”,通过拆分消费品通胀(融合CPI同比与BCI消费品前瞻指数)与工业品通胀(融合PPI同比与BCI中间品前瞻指数)来细化“通胀维度”。

  “定维度”方面,我们借鉴Kelly(2014)做法,对自2017年至今的股债商汇共10种大类资产日收益率数据(经标准化处理)进行主成分降维,发现前六大主成分、前七大主成分分别解释了资产价格波动的82%、89%,说明大类资产价格波动核心取决于6~7个主要成分。以第一主成分为例,第一主成分在中国权益资产(中证500、沪深300、恒生指数)上的载荷较大,处于0.45~0.51之间,在商品(南华沪铜、南华农产品)上亦有明显的正向暴露,而在国内债券上的载荷为负,对应国内经济增长风险。最终显示,在不包含美股的大类资产组合中,国内增长、通胀、流动性(利率)、汇率、信用是核心的五大宏观风险;若包含美股,则需要额外考虑海外经济风险因子。

  鉴于主成分分析提取的因子并不稳定,实际经济含义也因为统计处理过程中的严格正交处理而存在一定偏差,因此本文进一步基于资产多空组合构建宏观模拟组合(Factor   Mimicking)来高频化宏观因子。这一过程的起点是构造一个低频的因子“锚”。

  关于低频的宏观流动性、国内增长、通胀因子,我们前期报告《M1、BCI、PPI与宏观择时》中分别以经二次单边HP滤波处理后的M1、BCI、PPI作为代理变量。

  并且出于稳健性考量,我们亦尝试从两个方面丰富“增长、通胀”的构成方式:

  一是在增长维度,综合PMI与BCI两个景气指标;

  二是在通胀维度,拆分为消费品通胀与工业品通胀,消费品方面融合CPI同比与BCI消费品前瞻指数同比变动,工业品方面融合PPI同比与BCI工业品前瞻指数同比变动。

  关于海外经济因子,我们采用“美国ISM制造业PMI、服务业PMI同比变动与美国红皮书商业零售销售同比(经标准化以及波动率倒数加权)”作为代理变量。

  关于利率、汇率、信用因子,参照Fergis 等做法,由于这三类可以本身就有直接基础性资产与其高度相关,我们直接采用中国国债总价指数、美元指数日收益率以及“中证信用债3-5年AA指数与中证国开债3-5年指数”收益率的轧差作为代表。

  第五

  接下来,如何将“低频”宏观因子转化为“高频”因子体系?我们借鉴因子模拟(Factor   Mimicking)法。首先是以资产价格收益率为自变量,低频宏观因子为因变量进行逐步单变量一元回归,筛选与每个维度因子强相关的大类资产。然后是“高频化”合成。我们构建了滚动窗口期的多元领先滞后回归模型,将归一化处理后的回归系数与高频资产价格周环比或日环比交乘,得到高频宏观因子。以增长因子为例,模拟组合为做多螺纹钢期货、恒生指数、南华沪铜指数;而工业通胀因子的高频模拟组合为做多CRB工业原料现货指数、螺纹钢期货、WTI原油期货以及做空中证国债及政策性金融债7-10年。通过资产多空模拟组合获得了8个可供使用的宏观高频因子池,即利用回归方式将“不可交易”的宏观原始指标转化为“高频、具有拟合度、可交易”的宏观因子收益率。

  因子模拟(Factor Mimicking)需要先筛查与每个维度因子强相关的大类资产。即以资产价格收益率为自变量,进行逐步单变量一元回归,记录每一个单变量回归的系数T值与拟合优度R2;以增长因子为例,无论是单纯利用BCI,还是融合BCI与PMI构建的原始增长因子,均与恒生指数、螺纹钢期货、南华沪铜指数具有强相关性。其中单纯的BCI增长因子与商品(螺纹钢期货、南华沪铜指数)相关性更强,单元回归R方可以达到0.4左右。

  “高频化”合成中,我们采用滚动多元回归法来定权,即以月频宏观因子为因变量,以筛选出来的强关联资产价格对数同比作为自变量,进行滚动6个月多元回归,获取资产与宏观因子的相关系数,对相关系数进行归一化处理得到构造高频因子环比序列的权重。

  以增长因子为例,模拟组合为做多螺纹钢期货、恒生指数、南华沪铜指数;

  而工业通胀因子的高频模拟组合为做多CRB工业原料现货指数、螺纹钢期货、WTI原油期货以及做空中证国债及政策性金融债7-10年。

  对比高频宏观模拟组合同比与原始宏观因子同比,无论是国内增长、通胀、海外经济增长、流动性因子,两者均有较高的吻合度。

  第六

  然后,如何搭建“因子”与资产的桥梁?我们利用资产收益率对各因子收益率进行时序线性回归,得到资产对因子的风险暴露矩阵。该矩阵直观显示了资产对不同宏观变量的敏感度。我们的估计方式为带约束的稳健OLS回归,并且使用滚动窗口与随机重抽样方式确定系数,以便于捕捉敏感度的时变动态特征。首先上述因子均通过了低多重共线性检验,各因子的方差膨胀系数(VIF)均处于1.0~1.5之间(显著小于5),并且因子间相关系数较低,多数绝对值小于0.1。其次矩阵系数显示,大盘股(沪深300为代表)相对中盘股(中证500为代表)对经济增长更敏感,而中盘股对流动性环境更敏感;恒生指数有相似特征,并且对汇率因子(美元指数日收益率)有着一定负向暴露;标普500对美国经济因子有显著正向暴露等。方程的R方大小表示因子体系对某一资产价格的解释力度。股债资产的R方较大(利率债为0.93、企业债为0.57、沪深300为0.6、中证500为0.86),表明宏观主导驱动的特征较明显。伦敦金现、布伦特原油期货、美元兑人民币中间价相对靠后,R方分别为0.48、0.43、0.44,表明除宏观因子体系以外的特质性因子亦会参与定价,比如OPEC+增产节奏、地缘风险,逆周期调节因子等。通过风险暴露矩阵的“桥梁”,我们将“因子”代替“资产”的角色代入前期报告中的风险平价框架,获得符合“每一因子对整个组合的风险贡献相等”条件下的资产配置比例。

  我们首先计算了各个因子的方差膨胀系数(VIF)。该方法可以检验自变量的相互解释程度。检验结果发现,合成的各个宏观因子方差膨胀系数均处于1.0~1.5之间;统计经验值为VIF小于5,则说明因子间并不能交叉解释,不存在明显的多重线性。

  此外因子间的相关系数亦较低,在2016年1月4日至2025年5月14日的时间区间上,除了利率因子与信用因子存在中等强度的负相关性(-0.5左右)以外,其余分属于不同类别的宏观因子之间相关性绝对值均小于0.1。

  为了估计资产在宏观因子上的暴露程度,我们用资产收益率对宏观因子进行带约束的稳健OLS回归。

  从系数可知,沪深300与中证500在增长、流动性因子上有较高的正向暴露,中证500对流动性因子的暴露值更高,说明中国权益资产收益与经济增长、消费通胀因子的高频收益率同向波动,并且大盘股相对中盘股对经济增长更敏感,而中盘股对流动性环境更敏感。

  港股资产代表恒生指数不仅对国内增长、流动性等因子有较高的正向暴露,对汇率因子有着一定负向暴露。由于汇率因子的代理变量是美元指数日收益率,因而说明港股资产与美元指数呈负向关系。

  标普500对于美国经济高频因子有明显的正向暴露。

  债券资产方面,国债、企业债均在利率因子上呈负向暴露,国债系数绝对值更大,企业债还在信用因子上呈负向暴露。

  商品方面,首先是贵金属,COMEX黄金在汇率因子上有明显负向暴露,提示黄金收益率与美元收益率总体上呈现负向关系。同时,黄金对美国经济增长因子亦呈一定负向暴露。

  其余商品中,南华农产品指数与南华沪铜指数均对国内工业通胀呈明显正向暴露,其次是对流动性因子亦有一定正向暴露,表明通胀上行、流动性改善环境下商品价格倾向于上行。布伦特原油期货、南华沪铜指数还对汇率因子呈负向暴露,表明美元走软时,油铜价格具有“计价”维度的支撑。

  利率债资产的R方最大,达到0.93,其定价逻辑几乎可以完全有利率因子解释。企业债的拟合方程R方同样达到0.57。两者综合说明债券资产被宏观面所解释的程度更高,并且归因也较单一。

  沪深300与中证500同样基本为宏观驱动,拟合方程R方分别为0.60、0.86,但归因来看涉及宏观变量更广泛,既涉及增长、通胀,也涉及流动性、利率等因子。

  港股与美股资产的因子拟合方程R方分别为0.45、0.50,提示港股与美股资产的宏观驱动成分相对中等,低于沪深300与中证500,也低于国内债券资产。

  布伦特原油期货、美元兑人民币中间价可被宏观因子所解释的力度同样相对靠后,R方分别为0.43、0.44。这说明原油、人民币汇率可能受到除宏观因子体系以外的特质性因子影响,比如OPEC+增产节奏、地缘风险,逆周期调节因子等。

  第七

  首先是“轻量化”方案。由于多资产收益率被压缩至“增长、通胀”两因子,该风险平价框架较为简洁。回测结果显示“增长、通胀”因子风险平价给出了一个不加杠杆的更优收益实践方式。2016年以来,该方案年化收益7.7%,年化波动率5.4%,夏普比率1.14,最大回撤8.5%。而相同资产、相同时段,运用简单资产维度的风险平价策略、全资产等权重策略、波动率倒数加权的策略年化收益分别为4.6%、4.8%、4.7%,年化波动率分别为1.5%、8.7%、1.7%,夏普比率分别为2.09、0.38、1.83,最大回撤分别为2.5%、14.2%、2.8%。从上述结果来看,简单的资产风险平价组合虽然仍具有最高夏普,但稳健有余,弹性不足,也正因此,简单资产维度风险平价往往需要依赖“加杠杆”来放松一定波动率约束,来获得增厚收益;而“增长、通胀”因子平价策略收益率的提升在没有杠杆的情况下进行,并且没有带来波动率的大幅度提升,年化波动率均维持在5%附近,兼顾了收益与风险。从明细权重横向看,由于模型仍基于“风险平价”框架,波动率更低的债性资产仍在长时间序列上占大头。自2016年以来债券资产平均权重为54.6%,其中利率债占比为20.9%,信用债占比为33.8%;权益资产平均权重为10.2%,其中A股资产平均权重为5.2%,港股资产平均权重为5.0%;商品资产平均权重为20.3%;黄金资产平均权重为5.7%。纵向看,近年A股、港股资产的权重提示有所上升,分别自2022年的0.1%、0.3%年均权重上升至2024年以来的3.1%、7.8%;而债券资产权重有所回落;黄金资产权重则有所上升。

  “轻量化”的类全天候配置将多资产收益率压缩至“增长、通胀”两因子维度,框架相对简洁。我们以资产风险平价策略、全部资产等权重策略、波动率倒数加权策略作为三个比较基准;调仓法则为月度再平衡,每月初利用新滚动窗口内(比如6个月)样本进行风险平价优化生成新的各资产配比仓位。回测区间均统一为2016年1月1日至2025年6月9日。

  回测结果来看,2016年以来“增长+通胀”因子双轮驱动的轻量化风险平价策略年化收益为7.7%,年化波动率为5.4%,夏普比率为1.14,最大回撤出现在2017年三季度,曾达8.5%。而相同资产、相同时段,运用简单资产维度的风险平价策略年化收益为4.6%,年化波动率为1.5%,夏普比率为2.09,最大回撤为2.5%;简单的全资产等权重策略年化收益为4.8%,年化波动率为8.7%,夏普比率为0.38,最大回撤为14.2%;按照过去6个月波动率倒数加权的策略年化收益为4.7%,年化波动率为1.7%,夏普比率为1.83,最大回撤为2.8%。

  简单的资产风险平价组合稳健有余,弹性不足,平价过程核心是通过降低组合波动来使得组合获得更具优势的“夏普比率”,适合追求“稳健”性的投资者。但以此获得收益本身吸引力并不大,也正因此,简单资产维度风险平价往往需要依赖“加杠杆”来放松一定波动率约束,来获得增厚收益(详见前期报告《解读“全天候”策略》)。

  而“增长、通胀”因子风险平价给出了一个不加杠杆的更优收益实践方式。该方案较简单资产风险平价年化超额收益约3.1%;2020年以来的样本年化超额收益约2.1%。而这种收益率的提升并没有带来波动率的大幅度提升,年化波动率均维持在5%附近,兼顾了收益与风险。

  此外,考虑到本身的风险平价过程是一个满仓策略,对极端风险存在“脆弱性”,即我们前期报告《解读“全天候”策略》指出“东方不亮西方亮”的前提假设是资产有轮动表现,风险平价并不适用于多资产共振下跌、相关性剧烈上升的情景。为了预防极端情形的发生,我们还假设资金的10%~15%始终配置现金,将剩下的资金用于“平价优化”。虽然该处理方式下,年化收益均低于全仓优化的方案(7.1%<7.7%),但仍分别超过简单资产风险平价、等权、波动率加权策略2.5%、2.3%、2.4%。

  分年度考察来看,简单的“增长、通胀”因子风险平价在2016年以来多数年份跑赢简单资产风险平价。其中2016年、2019年、2020年、较为明显。近两年两者差距有所收窄,但因子风险平价仍具有大约年化0.5%~1.0%的优势。

  从资产的明细权重来看,自2016年以来的各资产权重显示,债券资产平均权重为54.6%,其中利率债(以中债国债7-10财富总指数为代表)占比为20.9%,信用债(以中债企业债AA3-5财富总指数为代表)占比为33.8%;权益资产平均权重为10.2%,其中A股资产(沪深300+中证500)平均权重为5.2%,港股资产(恒生指数)平均权重为5.0%;商品资产(南华农产品+南华沪铜+原油)平均权重为20.3%;黄金资产平均权重为5.7%。

  纵向来看,近年A股、港股资产的权重提示有所上升,分别自2022年的0.1%、0.3%年均权重上升至2024年以来的3.1%、7.8%;而债券资产权重有所回落,利率债、信用债年均权重分别自2022年的40.5%、39.5%下降至2024年至今的28.6%、28.7%;黄金资产在2021年、2022年的年均权重仅为2.2%、1.6%,但2023年、2024年以来的平均权重上升至6.2%、4.4%。

  第八

  然后是“三维度”方案。“M1-BCI-PPI”三因子风险平价策略2016年以来的年化收益为9.0%,年化波动率为7.8%,夏普比率为0.96,与“BCI-PPI”的轻量化配置模型基本相当,但收益更具优势。该策略优势主要集中在2016年-2019年,2020年以来与简单资产风险平价的收益基本相当。若拆分通胀为“工业通胀、消费通胀”,则在2020年以来同样具有8.4%的年化收益,主要在于规避了2020年上半年的大类资产价格较明显回调的风险。从资产明细权重来看,该模型在各个资产的分配权重与“增长+通胀”双轮模型大体一致,但更为分散。债性资产仍占相对大头,但有所下降,2016年以来债券资产平均权重为47.8%(轻量化模型中的占比为54.6%);权益资产中港股资产权重增加,平均为8.8%(轻量化模型中的占比为5.0%)。商品资产占比亦有所增加,“南华农产品+南华沪铜+原油”平均权重为24.9%(轻量化模型中的占比为20.3%)。纵向规律与轻量化模型近似,近年A股、港股资产、黄金等权重同样提示上升,债券资产权重有所回落。

  “三维因子”风险平价配置结果(BCI代表增长维度、PPI代表通胀维度、M1代表流动性维度)显示自2016年以来,策略年化收益为9.0%,年化波动率为7.8%。夏普比率为0.96,与“BCI-PPI”的轻量化配置模型基本相当,但收益更具优势。

  若拆分通胀为“工业通胀、消费通胀”,则在2020年以来同样具有8.4%的年化收益,主要在于规避了2020年上半年的大类资产价格较明显回调的风险。

  若固定15%的现金仓位,则剩余85%的仓位进行平价优化后的策略年化收益自2016年以来为8.0%,较满仓策略下降1.0个百分点。

  同样从颗粒度更细致的分月度、分年度考察来看,在“增长、通胀”基础上融入了流动性的三维因子平价较简单“增长、通胀”因子风险平价年度超额收益分布更为分散,并且同样显示,三维因子平价相较于简单资产风险平价的超额优势主要集中在2020年之前,而近年来资产风险平价的效果更具优势。

  从资产的明细权重来看,一则,债性资产仍占相对大头,但较轻量化“增长+通胀”双轮模型中的权重减少。2016年以来债券资产平均权重为47.8%(轻量化模型中的占比为54.6%),其中利率债(以中债国债7-10财富总指数为代表)占比为14.7%,信用债(以中债企业债AA3-5财富总指数为代表)占比为33.1%;

  二则,权益资产仍占10%附近,但较轻量化“增长+通胀”双轮模型中的权重增加,并且主要是其中的港股资产权重增加。2016年以来权益资产平均权重为13.8%,其中A股资产(沪深300+中证500)平均权重为5.0%,港股资产(恒生指数)平均权重为8.8%(轻量化模型中的占比为5.0%)。

  三则,商品资产占比亦有所增加,而是否考虑国内的流动性因子对黄金占比影响不大,基本仍维持在5.5%~6.0%附近。2016年以来的商品资产(南华农产品+南华沪铜+原油)平均权重为24.9%(轻量化模型中的占比为20.3%)。

  四则,纵向规律与轻量化模型近似,近年A股、港股资产权重同样提示上升,分别自2022年的2.3%、3.7%年均权重上升至2024年以来的3.9%、12.5%;而债券资产权重有所回落,自2022年、2023年的83.8%、64.1%下降至2024年至今的44.5%;黄金资产在2021年、2022年的年均权重仅为0.1%、1.9%,但2023年、2024年以来的平均权重上升至8.5%、6.1%。

  第九

  然后是“广谱性”方案。从策略回测结果来看,不考虑“美国名义增长因子”的宏观多因子风险平价策略自2016年以来的年化收益为7.5%,年化波动率为4.0%,夏普比率为1.49。收益与轻量化配置模型相近,略低于三因子配置模型,但夏普更具优势(1.49   > 1.14 > 0.96)。若加入标普500,在收益与波动率均有所下降,夏普比率保持在1.4附近。值得注意的是,近年来在国内运用多因子平价与简单资产平价的差异趋于减小,这可能反映了近年来国内股债、商品、黄金等多资产因主要受宏观因素驱动而本身就能反映某一类宏观风险,资产间的相关性趋于下降。换言之,近年以国内股债融合黄金、商品等的大类资产池本身就对“风险平价”配置框架的适用性上升。从横截面上看权重,因子考察维度更多后,配置框架更接近“简单资产风险平价”框架,债券类资产占比重新上升,自2016年以来的占比是61.9%;权益类资产的占比下降到了5%附近。纵向规律上也略有不同,近年权益资产权重变化不大,债券资产权重有所下降。简而言之,对于整个策略的波动而言,多因子风险平价配置模型让策略回报在时序维度更稳健、更分散;但在资产横向配比维度,而且因为债性资产的“低波”优势,重新给予更集中的权重。这也是在策略效果比较中,我们看到它波动率更低,具有三套因子配置模型中最高夏普(1.49   > 1.14 > 0.96)的原因。

  更具广谱性的宏观多因子配置框架不仅涵盖增长、消费通胀、工业通胀、宏观流动性,还涵盖了利率条件、汇率、信用利差。并且,我们还以是否加入“美国名义增长”分为两套方案。如果加入“美国名义增长因子”,则回测标的池中额外增加“标普500”。策略基准、调仓法则以及回测区间均与轻量化与三因子配置保持一致。

  从策略回测结果来看,不考虑“美国名义增长因子”的宏观多因子风险平价策略自2016年以来的年化收益为7.5%,年化波动率为4.0%,夏普比率为1.49。收益与轻量化配置模型相近,略低于三因子配置模型,但夏普更具优势(1.49 > 1.14   > 0.96)。

  若加入标普500,在收益与波动率均有所下降,夏普比率保持在1.4附近。

  但无论何种多因子配置模型,2020年以来并不明显跑赢简单资产风险平价策略。颗粒度更细的分月度、分年度策略结果也显示,多因子配置方案在2021年后与资产平价方案的超额收益趋于下降。

  从资产的明细权重来看,债券类资产自2016年以来的占比是61.9%(轻量化配置模型、三因子配置模型分别是54.6%、47.8%),利率债占比37.8%、信用债占比24.1%;

  权益类资产的占比下降到了5%附近,其中A股资产(沪深300+中证500)平均权重为2.2%,港股资产为3.4%。(轻量化配置模型、三因子配置模型分别是10.2%、13.8%);

  商品资产占比有所下降,“南华农产品+南华沪铜+原油”三者自2016年以来的平均权重为14.6%(轻量化配置模型、三因子配置模型分别是20.3%、24.9%)。

  黄金占比小幅抬升,自2016年以来的平均权重为6.7%(轻量化配置模型、三因子配置模型分别是5.7%、5.6%)。

  纵向规律上也略有不同,近年权益资产权重变化不大,债券资产权重有所下降,商品与人民币权重上升。2021、2022年债券资产权重分别为80.6%、71.9%,但2024年以来降至48.0%;汇率层面的人民币权重从2020年的0.9%上升至2024年以来的30.7%;商品资产(南华农产品+南华沪铜+原油)权重从2022年的5.1%上升至2024年以来的14.4%。

  综合来看,多因子风险平价配置模型回报在时序维度上更具有分散性,但相较“增长+通胀”、“增长+通胀+宏观流动性”的三因子仍在债券资产上占有更多比重,并且近年来的分散化过程是向“非权益”资产分散,而前两者则是向权益资产分散。

  事实上,这也是在策略效果比较中,我们看到它波动率更低,具有三套因子配置模型中最高夏普(1.49 > 1.14   > 0.96)的原因。

  最后我们还尝试兼顾资产短期动量效应(半衰期考量)进行增强实践。上述配置方案的前提假设是在滚动窗口期内(180个交易日)资产风格稳健,一个静态的协方差矩阵可以作为“风险平价”优化框架的输入变量;而近年风格年内存在波动,资产波动率的时变与集聚性可能会对近端月份产生较大影响,而对远端影响呈现衰减式。因此,我们将因子收益率的协方差矩阵处理成“半衰”模式,即45个交易日为半衰节点,距离当前的过去第一个“45日”协方差矩阵应被赋予更高的权重,将过去180个交易日的四个45交易日子矩阵分别赋予0.4、0.3、0.2、0.1的权重。从策略结果来看,“增长+通胀”的轻量化模型、“增长+通胀+流动性”的三因子模型在半衰模式下可以分别提高0.1%、0.4%的年化收益;若考虑10%固定配置现金的限制,则半衰模式可以分别提高0.3%、0.5%的年化收益。叠加动量效应后,策略波动率也有所上升,两类模型的夏普比率均有小幅下降,但仍均维持在1以上。换言之,叠加半衰期设置也可以是一种不增加杠杆模式下的收益增厚方向。广谱性的多因子配置模型在半衰模式下有更出色风险调整后收益,自2016年的夏普比率为1.68。分年度收益表现也可以看到,多因子配置模型在考虑了半衰期后每年的收益波动有所减少。月度收益表现也波动温和,月度收益基本上维持在[-1%,1%]之间变动。

  第十

  简单总结宏观因子风险平价框架。因子并不是越多越好,因子体系亦不是越复杂越有效,选择哪一种方式,应与当下的宏观环境、资产定价范式以及投资者在意的侧重点相互适配。仅有“增长、通胀”因子的“轻量化”的类全天候配置框架简洁,并且更具收益优势,部分解决了简单的资产风险平价组合稳健有余、弹性不足,需要依赖于“加杠杆”放松波动率约束才能获得增厚收益的问题。“三维因子”风险平价框架进一步放松了对夏普比率的要求,收益更具优势,资产配比更为分散。更具广谱性的宏观多因子配置框架的完整性更高,考虑风险层次更多,具有更高的夏普优势,但也由于风险考虑更多,平价优化后的资产配比上反而更向债性资产集中,收益优势并不明显,近年表现与简单资产风险平价趋于一致。

  第十一

  最后,宏观因子风险平价框架有值得思考和改进的三个方向:一是该方案简化大类资产是宏观因子的线性函数,“线性”假设在未来值得商榷;二是高频化宏观因子过程存在缺陷,方法论从“因子投资”得到借鉴,但单一市场具有定价的统一性,拓宽至大类资产维度,直接用统一的多空模拟组合来表达各个资产世界里面的某一个宏观因子可能有待改善;三是风险暴露矩阵的估计似乎面临“动态性”与“稳健性”的互斥关系,如何兼顾平衡两者亦值得思考。

  风险提示:一是回归模型构建基于历史数据,可能在未来有较大经济冲击或者市场改变时可能存在误差;二是模型仍有待将各类参数进行敏感性分析,提高策略的稳健性;三是基本面层面可能存在明显改变预期的事件,比如国内地产政策效果不及预期;新一轮地方政府化债影响超预期;后续财政政策力度超预期等。

  目录

广发证券:用宏观因子穿透资产  第1张

  正文

  PART1

  引子:初识“因子风险平价”

  何为“因子”?因子是真正使得投资不同资产能获得收益的核心驱动因素,资产和因子的关系类似于食物与营养元素(Andrew Ang,2010)。因子投资理念可以追溯至资本资产定价模型(CAPM),即组合收益是一系列风险因素的线性组合,组合收益本质是承担市场中不同风险而获得的补偿(Sharpe, 1964; Lintner, 1965; Ross, 1976)。

  因子进一步大体可以分为两类,一是宏观因子,用于解释跨资产收益差异;二是风格因子,多用于解释资产内部风险收益差异。比如低估值股票较高估值股票更具超额收益,可以理解为是“价值因子”在其中驱动。从“资产配置”深入到“因子配置”的过程,就是将组合模型从资产之间的分散化配比转为风险因子的配比。

  具体而言,每个资产的收益可以表示为宏观因子F的标准线性组合,其中Ft 是以收益率作为表现形式的风险因子,而回归系数bt 是资产对各个风险因子的暴露矩阵,是一种资产相对宏观因子的反应敏感度:

广发证券:用宏观因子穿透资产  第2张

  何为“因子风险平价(Factor Risk Parity)”?其首次作为学术概念系统论述出现在Attilio Meucci 2009年的论文中,其通过主成分分析(PCA)提取资产收益协方差矩阵在统计意义上不相关因子,并以此构建分散性的投资组合。Qian(2012、2016)亦指出风险平价模型的重点应是“风险”,而不是平价公式,对“风险”的理解应该回到更为本质的“宏观”层面,而不是简单的资产波动率。

  在前期报告《解读“全天候”策略》中,我们借鉴钱恩平(2005)的做法尝试构建了基于国内ETF(资产维度)的风险平价模型,该模型通过将每类资产在组合中的风险贡献度均等化来优化组合夏普,再通过杠杆来提升年度收益,最终在目标波动率为6%的约束下,基于传统的资产风险平价组合可以获得自2015年以来6.4%的年化收益,0.92的夏普比率。

  同时,在上述报告中,我们指出了“全天候”策略与传统普通资产风险平价模型的异同点,“全天候”本质上是“宏观因子风险平价”模型,并不是简单基于“资产风险”进行配置的方案。“宏观因子风险平价”模型穿透资产本质,聚焦于宏观风险(增长、通胀超过/低于预期),资产组合只是宏观风险因素的交易表达。换言之,其认为真正驱动资产价格波动的力量是宏观风险,“穿越周期”的实现路径也理应转变为均衡化资产背后更为本质的“宏观因子”。

  “因子配置”较传统“资产配置”的优势在何处?传统的资产风险平价模型是一种对MVO的另辟蹊径,但它并未跳脱直接基于资产本身风险收益特征去构建组合的配置框架。其中资产间的低相关性是传统配置模式能获得“免费午餐”的核心要素。而在实际操作中,当市场遭遇极端冲击,出于流动性的考虑,多类资产可能面临系统性的抛压,进而尾部风险推升资产相关性大幅度上升,传统配置模式的分散性就会失效。从底层因素来看,传统配置模式并未根据宏观场景的变化而及时调整权重,无法真正从“风险源”进行风险分散化。而因子配置正是上述局限性的补充。“因子”具有更低更稳定的相关性,就宏观视角来看,“宏观风险因子”相较普通大类资产相关性亦更低。比如通胀、增长属于宏观面的“量价”两个维度,通常轮动搭配,也因此衍生出“投资时钟”。

  除了上述特点外,基于宏观因子的配置模型与其他因子模型一样,可以更有效地“降维”。因子投资的核心是一个“化繁为简”的过程。从数理上看,该过程将涵盖较多资产数量的资产空间降维至更小更具共性的几个因子空间。桥水“全天候”的一大优点就是将十余种大类资产的风险配置最终归结在增长、通胀两个因子维度的平价方案。

  再次,基于因子的配置模型可以做到更好的归因,分解收益来源。而一般大类资产的价格更受宏观环境影响。对于宏观因子配置模型而言,我们可以根据对未来的宏观场景的预判调整资产权重,如股债商资产的收益可以分解对应到增长、通胀因子的变化。而传统基于资产的配置方式仅从资产的风险收益特征出发,资产权重调整并不能反映宏观变化。

  本文尝试将类似“全天候”的因子配置模式在中国市场中落地,并且扩展出适合国内市场的宏观因子维度,构建本土化的宏观因子风险平价配置框架。

广发证券:用宏观因子穿透资产  第3张

  PART2

  构建基于宏观因子的风险平价配置框架

  (一)参考FIFAA策略的“四步走”

  Blyth(2016)提出了“基于因子的灵活资产配置模型”(Flexible Indeterminate Factor-based Asset Allocation, FIFAA),并成为哈佛捐赠基金(Harvard Management Company, HMC)在2015年9月之后转向“因子化思维”的策略载体。从事后回溯来看,在FIFAA策略模式下,哈佛捐赠基金近十年、近五年的平均年度回报分别为8.1%、10.4%。

广发证券:用宏观因子穿透资产  第4张

  本文参考该文献将本土化宏观因子风险平价框架的搭建亦分为四个步骤。

  一是“筛选因子”,即选择以及生成适合本土大类资产的宏观因子。宏观因子的“适配度”直接决定了后续进行平价优化是否真正识别和分散了风险。

  二是“计算风险暴露”,即搭建“因子”与“资产”的量化桥梁,利用线性回归模式测算出资产对因子的风险暴露程度。

  三是“确定目标风险暴露”,即按照某一法则或偏好确定对各因子风险暴露多少是合适的,即设定目标风险暴露。比如因子风险平价是通过“各个因子对组合的风险贡献度一致”这一优化过程来设定目标风险暴露。

  四是“匹配目标风险暴露”,若第三步的目标因子风险暴露为主观设定,则该步骤为利用最优化框架(如Blyth最优化框架、Greenberg最优化框架)反推出资产权重;若为因子风险平价,则直接根据符合因子风险平价条件与风险暴露矩阵重新回到资产层面确定组合内部的资产配比。

广发证券:用宏观因子穿透资产  第5张

  (二)步骤一:识别、构造高频宏观因子

  1.主流的三种方法及其优缺点

  在基于宏观因子的风险平价模型中,首先关键是宏观因子的构建,主流做法分为三种:

  一是直接利用低频经济数据作为宏观因子,如使用实际GDP、PPI等来代表增长、通胀因子。

  二是采用统计方式从资产中直接提取(比如主成分分析降维(PCA,Principal Component Analysis))。该方法将资产波动降维至几个线性无关的主成分(公因子),避免了“维度灾难”。如Meucci(2009)、Bruder & Roncalli(2012)。实践中较为知名的是,Kelly(2014)在《Practical Applications for Factor Based Asset Allocation》中将13类大类资产收益率进行主成分分析,提取增长、利率、通胀三大宏观因子,并且测算出简洁的宏观因子框架对资产组合的风险贡献度达到80%。

  三是基于资产的多空组合构建与低频宏观数据最吻合的宏观模拟组合来代替因子(Factor Mimicking)。如Greenberg,Babu and Ang(2016)与Bass, Gladstone and Ang(2017),采用该方式构建了“增长、实际利率、通胀、信用、新兴市场、商品”六因子框架,六大因子分别用股指宽基指数、通胀挂钩债券,多名义债券与空通胀挂钩债券,多公司债券空名义债券,新兴市场国家股权风险溢价、主权信用违约掉期指数以及新兴国家汇率,加权高盛商品指数来刻画。由此可见,利用模拟组合来刻画高频因子(Factor Mimicking)本质是剥离出市场主体在资产价格中对于某一宏观指标的计价交易程度(Price in程度)。并且资产价格日频波动,对宏观指标的高频化也可以达到日频程度。

  理论上,我们可以通过这种方式观察到,越是临近某一关键宏观数据公布,相对应的日频宏观模拟组合也或将发生明显边际变化,较为灵敏地反映市场计入的预期变化。

广发证券:用宏观因子穿透资产  第6张

  第一种方法相对低频,并且公布具有滞后性,虽然具有经济含义,但对资产价格的解释力度存在时变性。

  后两种方式的假设是宏观因子虽然不可交易,但是隐藏于大类资产表现中,可以从资产价格或者资产组合反推得到更高频的实时因子(Chen,Roll和Ross, 1986)。

  第二种方法中,虽然因子可以简便地从资产价格中提取,但PCA提取后的主成分暴露系数并不稳定,权重亦不唯一,提取后的公因子并不具有明显的经济逻辑。但好处在于PCA提取的主成分具有统计意义的不相关性,能更好的分散风险,并且在因子维度未知的情况下,可以辅助判断需要考量的大类资产宏观象限维度。

  第三种方法简言之是以低频的宏观指标作为因变量,以与宏观指标具有“强相关”的资产价格作为自变量构建回归模型,最终通过回归系数与自变量交乘拟合出更为高频的宏观因子。其中若资产与因子逻辑对应关系较为直接,则直接采用该资产价格作为某一因子的代理指标。

  2.我们的融合方案:“定维度、筛资产、高频化”

  我们结合后两种方法的优点来构造更为灵敏的高频宏观因子,主要可总结为三个步骤“定维度、筛资产、高频化”:

  第一,确定宏观维度体系,即利用PCA识别驱动国内大类资产收益率变化的主要宏观成分,与常规低频关键宏观变量做比对,确定后续高频化过程中需要的宏观因变量;

  第二,筛查与每个维度因子强相关的大类资产,即以资产价格收益率为自变量,进行逐步单变量一元回归,记录每一个单变量回归的系数T值与拟合优度R2;

  第三,使用资产模拟组合来构造高频宏观因子,即以第一步确定的月频宏观变量为因变量,以基础资产价格月同比为自变量,构建滚动窗口期的多元领先滞后回归模型,最后使用归一化处理后的回归系数与高频资产价格周环比或日环比交乘,得到周度、日度高频宏观因子。

  “定维度”方面,我们借鉴Kelly(2014)做法,对自2017年至今的股债商汇共10种大类资产日收益率数据(经标准化处理)进行主成分降维,发现前六大主成分、前七大主成分分别解释了资产价格波动的82%、89%,说明大类资产价格波动核心取决于6~7个主要成分。进一步观察主成分在各资产上的载荷大小可知原始资产指数与提取的公共因子之间的相关性程度。我们发现,各主成分具有一定经济含义。

广发证券:用宏观因子穿透资产  第7张

  第一主成分在中国权益资产(中证500、沪深300、恒生指数)上的载荷较大,处于0.45~0.51之间,在商品(南华沪铜、南华农产品)上亦有明显的正向暴露,而在国内债券上的载荷为负,对应国内经济增长风险。

  第二主成分在美元指数上录得0.65的正向载荷,而与黄金、中国债券呈明显负向关系,对应汇率(美元)风险。

  第三主成分在中国国债、企业债上均录得显著正向载荷,前者为0.71,后者为0.57,而在国内权益子亦均有正向载荷,对应宏观流动性或者利率风险。流动性宽松下股债均受益,宽基股指与债券指数均上涨。

  第四主成分在商品(南华农产品指数、南华沪铜指数)上的正向载荷明显高于其他资产,在股债资产上录得负向载荷,对应通胀风险。

  第五主成分则在美股上录得0.85的正向载荷,而在其他资产的载荷大小均低于0.3,并且在中国权益资产、伦敦黄金现货上均录得负向载荷,对应海外经济风险。

  第六主成分在国内利率债与信用债上载荷差别较大,并且方向相反,对应信用风险。第七主成分占比较小,并且与第六主成分有些近似,核心暴露亦在利率债、信用债上。

广发证券:用宏观因子穿透资产  第8张

  鉴于主成分分析提取的因子并不稳定,实际经济含义也因为统计处理过程中的严格正交处理而存在一定偏差,因此本文只采用PCA方法来匡定因子维度,进一步基于资产多空组合构建宏观模拟组合(Factor Mimicking)来高频化宏观因子。

  从上述PCA检验中可以看到,在不包含美股的大类资产组合中,国内增长、通胀、流动性(利率)、汇率、信用是核心的五大宏观风险;若包含美股,则需要额外考虑海外经济风险因子。

  在确定了对大类资产最为关键的核心宏观维度后,我们接着构建相比主成分更加具有经济逻辑的“低频宏观经济因子”,以此为后续“高频化”过程提供因子“锚”。

  同时,为了兼顾策略效率与全面性,我们在后文尝试按照因子多寡的复杂度以递进方式分别构建三套方案:

  (1)只考虑“增长+通胀”双轮的“轻量化”模型;

  (2)兼顾“增长、通胀、流动性”的三维风险平价配置模型;

  (3)更具广谱性的,涵盖“国内增长、通胀(消费通胀、工业通胀)、流动性、利率、汇率、信用、海外经济”七大核心维度的宏观风险平价框架。

  关于宏观流动性、国内增长、通胀因子,我们前期报告《M1、BCI、PPI与宏观择时》中分别以经二次单边HP滤波处理后的M1、BCI、PPI作为代理变量。只是前期报告利用因子周期轮动来进行大盘择时,本报告中我们尝试利用上述代理变量搭建宏观风险平价配置框架。

  此外,出于稳健性考量,我们亦尝试从两个方面丰富“增长、通胀”的构成方式:

  一是在增长维度,综合PMI与BCI两个景气指标,并用过去六个月波动率倒数进行加权;

  二是在通胀维度,拆分为消费品通胀与工业品通胀,消费品方面融合CPI同比与BCI消费品前瞻指数同比变动,工业品方面融合PPI同比与BCI工业品前瞻指数同比变动,并且均使用过去六个月波动率倒数加权。

  关于海外经济因子,我们采用“美国ISM制造业PMI、服务业PMI同比变动与美国红皮书商业零售销售同比(经标准化以及波动率倒数加权)”作为代理变量。

广发证券:用宏观因子穿透资产  第9张

广发证券:用宏观因子穿透资产  第10张

  关于利率、汇率、信用因子,参照Fergis等做法,由于这三类可以本身就有直接基础性资产与其高度相关,我们直接采用中国国债总价指数、美元指数日收益率以及“中证信用债3-5年AA指数与中证国开债3-5年指数”收益率的轧差作为代表。此外,除经济类数据需要利用滤波平滑过滤毛刺以外,利率、汇率、信用一类直接用资产价格表示的因子并不需要平滑处理。

广发证券:用宏观因子穿透资产  第11张

广发证券:用宏观因子穿透资产  第12张

  在获得国内外增长、消费通胀、工业通胀、流动性等“经济类”原始因子后,我们就可以进一步借鉴贝莱德(2018)运用的因子模拟(Factor Mimicking)方法,通过资产多空组合将具有“经济”逻辑但低频的原始因子转化为实时、高频、可交易的宏观因子。

  “筛资产”是我们为第三步“高频化”做预备的过程。传统宏观变量存在滞后、公布节点晚、指标繁多等问题,而因子投资中的风险因子输入应该是与因变量资产收益率同频的“组合”收益率。因此我们需要在选择合适宏观原始变量的基础上,通过因子模拟组合的方式先找到与低频因子最相关的资产,基于这些资产日频或周频收益率来高频化原始宏观因子。

  具体而言,我们以各个宏观因子作为因变量,以资产价格收益率为自变量,对33种大类资产进行遍历单元回归,回归起止时段为2014年1月至2025年4月。并且为了削弱模型受到自相关与异方差干扰,我们利用Newey-West进行参数调整。最终,筛选每个单变量回归的系数在95%显著水平下显著的资产保留,视为与该宏观因子具有强相关性的资产。

  以增长因子为例。无论是单纯利用BCI,还是融合BCI与PMI构建的原始增长因子,均与恒生指数、螺纹钢期货、南华沪铜指数具有强相关性。其中单纯的BCI增长因子与商品(螺纹钢期货、南华沪铜指数)相关性更强,单元回归R方可以达到0.4左右。

  工业通胀因子方面,无论是单纯利用PPI,还是融合PPI与BCI工业品前瞻构建的原始工业因子,均与CRB工业原料、螺纹钢期货、WTI原油呈显著正向关系、与中证国债及政策性金融债7-10年指数成显著负相关。并且前三者商品价格单变量对融合PPI与BCI工业品前瞻的通胀因子解释力度较高,R方分别达到了0.64、0.56、0.41。

  消费品通胀因子则与WTI原油、南华生猪指数呈显著正向关系、中证长期国债指数呈显著负向关系。

  国内流动性因子则与中证2000、中证公司债7-10年指数均呈显著正向关系,表明流动性宽松对股债的影响是同向的。

  美国增长原始因子则与标普500、CRB工业原料现货指数呈正向关系,并且任一资产均对美国增长因子解释力度较高,R方分别为0.47、0.46。

广发证券:用宏观因子穿透资产  第13张

  在获得可供高频拟合宏观因子的强关联资产后,下一步的关键是如何在合成中赋权。我们采用滚动多元回归法来定权,即以月频宏观因子为因变量,以筛选出来的强关联资产价格对数同比作为自变量,进行滚动6个月多元回归,获取资产与宏观因子的相关系数,对相关系数进行归一化处理得到构造高频因子环比序列的权重。

广发证券:用宏观因子穿透资产  第14张

  在得到高频因子的环比序列后,我们以起始点为基期进行回溯净值化。最终将净值序列进行同比处理,与同比口径的原始宏观因子进行比对。其中流动性因子的处理方式更为简洁,由于小盘股(以中证2000为代表)与国内信用债均对流动性因子的解释力度相当(单变量回归R方接近),我们直接将基础资产等权加总合成。对比高频宏观模拟组合同比与原始宏观因子同比,无论是国内增长、通胀、海外经济增长、流动性因子,两者均有较高的吻合度。

广发证券:用宏观因子穿透资产  第15张

广发证券:用宏观因子穿透资产  第16张

广发证券:用宏观因子穿透资产  第17张

广发证券:用宏观因子穿透资产  第18张

广发证券:用宏观因子穿透资产  第19张

  至此我们通过资产多空模拟组合获得了8个宏观高频因子,利用回归方式将“不可交易”的宏观原始指标转化为“高频、具有拟合度、可交易”的宏观因子收益率。

广发证券:用宏观因子穿透资产  第20张

广发证券:用宏观因子穿透资产  第21张

  (三)步骤二:计算资产的因子暴露度

  得到高频化宏观因子后,接下来是搭建“因子”与“资产”的桥梁——资产的因子暴露,我们利用资产收益率对各因子收益率进行时序线性回归,回归系数即为资产对因子的风险暴露程度。

  作为一个时序回归,自变量之间的低相关性与较低的多重共线性是回归有效性的前提条件。PCA主成分因子直接从统计正交的方式形成了各个互不相关的因子,但根据经济逻辑与模拟组合合成的宏观因子并不严格正交。

  我们首先计算了各个因子的方差膨胀系数(VIF)。该方法可以检验自变量的相互解释程度。检验结果发现,合成的各个宏观因子方差膨胀系数均处于1.0~1.5之间;统计经验值为VIF小于5,则说明因子间并不能交叉解释,不存在明显的多重线性。

广发证券:用宏观因子穿透资产  第22张

  再看因子相关系数,在2016年1月4日至2025年5月14日的时间区间上,除了利率因子与信用因子存在中等强度的负相关性(-0.5左右)以外,其余分属于不同类别的宏观因子之间相关性绝对值均小于0.1。

广发证券:用宏观因子穿透资产  第23张

  我们利用本文开篇的方程式(1)测算大类资产在上述宏观因子上的风险暴露程度,其中的回归系数bt 是资产对各个风险因子的暴露矩阵。

广发证券:用宏观因子穿透资产  第24张

  为了估计资产在宏观因子上的暴露程度,我们用资产收益率对宏观因子进行带约束的稳健OLS回归。约束条件为主观识别资产类别与因子的因果关系,如权益、商品资产并不是信用因子(信用利差)的函数,因此我们仅在债券资产维度利用全部八因子进行回归,而其余资产使用不考虑信用因子的七因子回归。

  在具体回归过程中,为了提升结果稳健性,我们采用滚动Bootstrap抽样方式进行随机采样1000次回归。滚动窗口期选择每个时点的过去180天,每次以随机起始点的60天跨度进行回归。

  并且在汇总回归结果中,为了排除异常值干扰,我们最终以回归系数的中位数作为资产在各因子上的暴露值,并且优先保留R方大于0.4方程的中位数,若单次回归R方均小于0.4,则保留R方大于0.2方程的中位数。我们以2022年12月1日作为例子观察资产的因子暴露矩阵。

广发证券:用宏观因子穿透资产  第25张

  从系数可知,A股资产代表沪深300与中证500在增长、流动性因子上有较高的正向暴露,并且沪深300对增长、消费通胀因子的暴露值更高,而中证500对流动性因子的暴露值更高,说明中国权益资产收益与经济增长、消费通胀因子的高频收益率同向波动,并且大盘股相对中盘股对经济增长更敏感,而中盘股对流动性环境更敏感。港股资产代表恒生指数不仅对国内增长、流动性等因子有较高的正向暴露,对汇率因子有着一定负向暴露。由于汇率因子的代理变量是美元指数日收益率,因而说明港股资产与美元指数呈负向关系。标普500对于美国经济高频因子有明显的正向暴露。

  债券资产方面,国债、企业债均在利率因子上呈负向暴露,国债系数绝对值更大,企业债还在信用因子上呈负向暴露。这种负向关联对应利率与信用利差上行对应利率债券、信用债券价格下行,与常识相符。

  商品方面,首先是贵金属,COMEX黄金在汇率因子上有明显负向暴露,提示黄金收益率与美元收益率总体上呈现负向关系。同时,黄金对美国经济增长因子亦呈一定负向暴露。

  其余商品中,南华农产品指数与南华沪铜指数均对国内工业通胀呈明显正向暴露,其次是对流动性因子亦有一定正向暴露,表明通胀上行、流动性改善环境下商品价格倾向于上行。布伦特原油期货、南华沪铜指数还对汇率因子呈负向暴露,表明美元走软时,油铜价格具有“计价”维度的支撑。

  比较方程的R方大小可以观察各个因子对资产价格的解释力度。利率债资产的R方最大,达到0.93,其定价逻辑几乎可以完全有利率因子解释。企业债的拟合方程R方同样达到0.57。两者综合说明债券资产被宏观面所解释的程度更高,并且归因也较单一。沪深300与中证500同样基本为宏观驱动,拟合方程R方分别为0.60、0.86,但归因来看涉及宏观变量更广泛,既涉及增长、通胀,也涉及流动性、利率等因子。

  港股与美股资产的因子拟合方程R方分别为0.45、0.50,提示港股与美股资产的宏观驱动成分相对中等,低于沪深300与中证500,也低于国内债券资产。

  布伦特原油期货、美元兑人民币中间价可被宏观因子所解释的力度同样相对靠后,R方分别为0.43、0.44。这说明原油、人民币汇率可能受到除宏观因子体系以外的特质性因子影响,比如OPEC+增产节奏、地缘风险,逆周期调节因子等。

  简单而言,该矩阵直观显示了资产对不同宏观变量的敏感度,由于我们使用滚动窗口与随机重抽样方式确定系数,该风险暴露系数能捕捉到敏感度的时变动态特征,并且具有随机检验下的一般性特征。

  (四)步骤三&四:以“风险平价”确定目标风险暴露

  在获得因子风险暴露,第三步是确定资产组合应该使用的目标暴露。一种方式是采用“基准+偏离”的做法在恒定权重的基准暴露上做一定程度的因子偏离,比如利用Blyth最优化框架在给定组合的因子目标暴露后反推出达到目标暴露对应的资产权重。

  另一种方式是类似于牛晓健(2021),将“因子”代替“资产”的角色代入风险平价框架,最优化等式即为“因子风险平价”过程,最终回到资产层面解出符合因子风险平价的资产权重。本文是“全天候”策略的本土化测试,因此选择后一种方法。

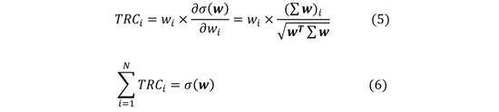
  普通资产维度风险平价过程,就是让各个资产对整个组合的风险贡献相等的过程。若转化宏观因子风险平价,即是让每一因子对整个组合的风险贡献相等。若以收益率的标准差作为风险的度量。含有N个资产的整个组合风险可以表示为:

广发证券:用宏观因子穿透资产  第26张

  其中的某个资产 i 的边际风险(marginal risk contribution, MRC)为:

广发证券:用宏观因子穿透资产  第27张

  其中的某个资产i 对组合的风险贡献度(Total Risk Contribution, TRC)等于“敏感度*资产权重”:

广发证券:用宏观因子穿透资产  第28张

  风险平价的过程,就是让各个资产风险贡献相等的过程,即每类资产的风险贡献占组合风险的N分之一:

广发证券:用宏观因子穿透资产  第29张

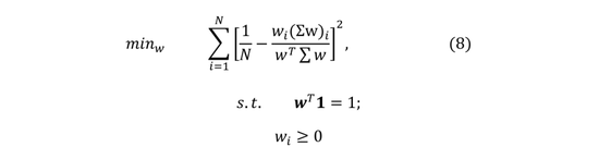
  至此,传统资产维度的风险平价即求解以下的优化问题——最小化风险贡献偏离目标的平方和,风险贡献偏离度,越小表示越接近风险平价。模型的输入为N类资产的协方差矩阵,最优配置下的权重为wi。一般情况下,风险平价模型并不存在解析解,通常为非线性数值解:

广发证券:用宏观因子穿透资产  第30张

  而宏观因子风险平价则是通过实时变化的资产因子风险暴露矩阵(基于K个宏观因子)将各个资产收益率进行转化和分解。其中,B为资产在宏观因子上的风险暴露矩阵(n*k),S是对角矩阵(n*n),对角线上的每个元素就是对应资产的残差序列标准差,因此残差序列矩阵。

广发证券:用宏观因子穿透资产  第31张

  而整个资产组合的收益率是新权重与各个资产收益率交乘:

广发证券:用宏观因子穿透资产  第32张

  进一步,某一个因子j 对整个组合的风险贡献度占比为:

广发证券:用宏观因子穿透资产  第33张

  其中的协方差矩阵

广发证券:用宏观因子穿透资产  第34张

  是因子协方差矩阵与单位阵的组合。

  因子风险平价框架下各个因子风险贡献相等,即每个因子的风险贡献占组合风险的K分之一:

广发证券:用宏观因子穿透资产  第35张

  类似于上式(8),因子风险平价转为求解以下的优化问题,其中两个常用的约束条件是资产权重为1;由于不能做空而资产权重大于0:

广发证券:用宏观因子穿透资产  第36张

  因此,宏观因子风险平价框架是在“宏观”维度均衡化风险,最终给出的投资组合配比方案使得组合风险被平均分配在不同宏观因子上,也由此该方案理论上将具有更好的风险分散效果。

  PART3 

  宏观因子风险平价策略回测结果

  (一)轻量化配置模型:基于“增长+通胀”双轮

  我们首先来检测“轻量化”的全天候配置结果,即只采用“增长、通胀”两变量进行分散配置。

  (1)回测标的:涉及股债商汇四大品种10类资产,分别为中证500、沪深300、恒生指数、中债企业债AA3-5财富总指数、中债国债7-10财富总指数、南华农产品指数、南华沪铜指数、伦敦金现、布伦特原油期货、美元兑人民币中间价。

  (2)策略基准:以资产风险平价策略、全部资产等权重策略、波动率倒数加权策略作为三个比较基准;

  (3)调仓法则:月度再平衡,每月初利用新滚动窗口内(比如6个月)样本进行风险平价优化生成新的各资产配比仓位;

  (4)回测区间:2016年1月1日-2025年6月9日。

广发证券:用宏观因子穿透资产  第37张

  从策略回测结果来看,2016年以来“增长+通胀”因子双轮驱动的轻量化风险平价策略年化收益为7.7%,年化波动率为5.4%,夏普比率为1.14,最大回撤出现在2017年三季度,曾达8.5%。

  而相同资产、相同时段,运用简单资产维度的风险平价策略年化收益为4.6%,年化波动率为1.5%,夏普比率为2.09,最大回撤为2.5%;

  简单的全资产等权重策略年化收益为4.8%,年化波动率为8.7%,夏普比率为0.38,最大回撤为14.2%;

  按照过去6个月波动率倒数加权的策略年化收益为4.7%,年化波动率为1.7%,夏普比率为1.83,最大回撤为2.8%。

  总结来看,首先,风险平价策略在国内市场具备有效性。即便在收益端,三个基准策略(等权、波动率加权、简单资产风险平价)的年化收益相当,但资产风险平价具有更占优的风险调整后的收益,即最高的夏普比率。但简单的资产风险平价组合稳健有余,弹性不足,平价过程核心是通过降低组合波动来使得组合获得更具优势的“夏普比率”,适合追求“稳健”性的投资者。但以此获得收益本身吸引力并不大,也正因此,简单资产维度风险平价往往需要依赖“加杠杆”来放松一定波动率约束,来获得增厚收益(详见前期报告《解读“全天候”策略》)。

  其次,简单的“增长、通胀”因子风险平价给出了一个不加杠杆的更优收益实践方式。该方案较简单资产风险平价年化超额收益约3.1%;2020年以来的样本年化超额收益约2.1%。而这种收益率的提升并没有带来波动率的大幅度提升,年化波动率仍维持在5%附近,兼顾了收益与风险。

  此外,考虑到本身的风险平价过程是一个满仓策略,对极端风险存在“脆弱性”,即我们前期报告《解读“全天候”策略》指出“东方不亮西方亮”的前提假设是资产有轮动表现,风险平价并不适用于多资产共振下跌、相关性剧烈上升的情景。

  因此,为了预防极端情形的发生,我们还假设资金的10%~15%始终配置现金,将剩下的资金用于“平价优化”。虽然该处理方式下,年化收益均低于全仓优化的方案(7.1%<7.7%),但仍分别超过简单资产风险平价、等权、波动率加权策略2.5%、2.3%、2.4%。

广发证券:用宏观因子穿透资产  第38张

  颗粒度更细致的分月度、分年度考察来看,简单的“增长、通胀”因子风险平价在2016年以来多数年份跑赢简单资产风险平价。其中2016年、2019年、2020年、较为明显。近两年两者差距有所收窄,但因子风险平价仍具有大约年化0.5%~1.0%的优势。

广发证券:用宏观因子穿透资产  第39张

  从资产的明细权重来看,由于模型仍基于“风险平价”框架,波动率更低的债性资产仍在长时间序列上占大头。自2016年以来的各资产权重显示,债券资产平均权重为54.6%,其中利率债(以中债国债7-10财富总指数为代表)占比为20.9%,信用债(以中债企业债AA3-5财富总指数为代表)占比为33.8%;权益资产平均权重为10.2%,其中A股资产(沪深300+中证500)平均权重为5.2%,港股资产(恒生指数)平均权重为5.0%;商品资产(南华农产品+南华沪铜+原油)平均权重为20.3%;黄金资产平均权重为5.7%。

  纵向来看,近年A股、港股资产的权重提示有所上升,分别自2022年的0.1%、0.3%年均权重上升至2024年以来的3.1%、7.8%;而债券资产权重有所回落,利率债、信用债年均权重分别自2022年的40.5%、39.5%下降至2024年至今的28.6%、28.7%;黄金资产在2021年、2022年的年均权重仅为2.2%、1.6%,但2023年、2024年以来的平均权重上升至6.2%、4.4%。

广发证券:用宏观因子穿透资产  第40张

广发证券:用宏观因子穿透资产  第41张

  (二)三维配置模型:兼顾“增长、通胀、流动性”

  接着我们来测试“三维因子”配置结果,其中BCI代表增长维度、PPI代表通胀维度、M1代表流动性维度。此外,我们还拆分通胀为工业通胀、消费通胀因子进行稳健性检验。

  只要因子中不涵盖“美国名义增长因子”,则我们回测标的均为不涉及“标普500”的10类资产——中证500、沪深300、恒生指数、中债企业债AA3-5财富总指数、中债国债7-10财富总指数、南华农产品指数、南华沪铜指数、伦敦金现、布伦特原油期货、美元兑人民币中间价。

  策略基准、调仓法则以及回测区间均与“轻量化”的全天候配置模型结果保持一致。

广发证券:用宏观因子穿透资产  第42张

  从策略回测结果来看,2016年以来的“M1-BCI-PPI”三因子风险平价策略年化收益为9.0%,年化波动率为7.8%。夏普比率为0.96,与“BCI-PPI”的轻量化配置模型基本相当,但收益更具优势。但该策略优势主要集中在2016年-2019年,2020年以来与简单资产风险平价的收益基本相当。

  若拆分通胀为“工业通胀、消费通胀”,则在2020年以来同样具有8.4%的年化收益,主要在于规避了2020年上半年的大类资产价格较明显回调的风险。

  我们同样测试了部分仓位始终维持现金的配置效果。若维持15%的现金仓位,则剩余85%的仓位进行平价优化后的策略年化收益自2016年以来为8.0%,较满仓策略下降1.0个百分点。

广发证券:用宏观因子穿透资产  第43张

  同样从颗粒度更细致的分月度、分年度考察来看,在“增长、通胀”基础上融入了流动性的三维因子平价较简单“增长、通胀”因子风险平价年度超额收益分布更为分散,并且同样显示,三维因子平价相较于简单资产风险平价的超额优势主要集中在2020年之前,而近年来资产风险平价的效果更具优势。

广发证券:用宏观因子穿透资产  第44张

  从资产的明细权重来看,该模型在各个资产的分配权重与“增长+通胀”双轮模型大体一致,但更为分散。

  一则,债性资产仍占相对大头,但较轻量化“增长+通胀”双轮模型中的权重减少。2016年以来债券资产平均权重为47.8%(轻量化模型中的占比为54.6%),其中利率债(以中债国债7-10财富总指数为代表)占比为14.7%,信用债(以中债企业债AA3-5财富总指数为代表)占比为33.1%;

  二则,权益资产仍占10%附近,但较轻量化“增长+通胀”双轮模型中的权重增加,并且主要是其中的港股资产权重增加。2016年以来权益资产平均权重为13.8%,其中A股资产(沪深300+中证500)平均权重为5.0%,港股资产(恒生指数)平均权重为8.8%(轻量化模型中的占比为5.0%)。

  三则,商品资产占比亦有所增加,而是否考虑国内的流动性因子对黄金占比影响不大,基本仍维持在5.5%~6.0%附近。2016年以来的商品资产(南华农产品+南华沪铜+原油)平均权重为24.9%(轻量化模型中的占比为20.3%)。

  四则,纵向规律与轻量化模型近似,近年A股、港股资产权重同样提示上升,分别自2022年的2.3%、3.7%年均权重上升至2024年以来的3.9%、12.5%;而债券资产权重有所回落,自2022年、2023年的83.8%、64.1%下降至2024年至今的44.5%;黄金资产在2021年、2022年的年均权重仅为0.1%、1.9%,但2023年、2024年以来的平均权重上升至8.5%、6.1%。

广发证券:用宏观因子穿透资产  第45张

广发证券:用宏观因子穿透资产  第46张

  (三)广谱性配置模型:涵盖七大宏观因子

  最后我们考察更具广谱性的宏观多因子配置结果,即不仅涵盖增长、消费通胀、工业通胀、宏观流动性,还涵盖了利率条件、汇率、信用利差。并且,我们还以是否加入“美国名义增长”分为两套方案。如果加入“美国名义增长因子”,则回测标的池中额外增加“标普500”。策略基准、调仓法则以及回测区间均与轻量化与三因子配置保持一致。

广发证券:用宏观因子穿透资产  第47张

  从策略回测结果来看,不考虑“美国名义增长因子”的宏观多因子风险平价策略自2016年以来的年化收益为7.5%,年化波动率为4.0%,夏普比率为1.49。收益与轻量化配置模型相近,略低于三因子配置模型,但夏普更具优势(1.49 > 1.14 > 0.96)。

  若加入标普500,在收益与波动率均有所下降,夏普比率保持在1.4附近。

  但无论何种多因子配置模型,2020年以来并不明显跑赢简单资产风险平价策略。颗粒度更细的分月度、分年度策略结果也显示,多因子配置方案在2021年后与资产平价方案的超额收益趋于下降。

  这与前两者因子配置模型的信号类似,说明近年来在国内运用因子平价与简单资产平价的差异趋于减小,可能反映了近年来国内股债、商品、黄金等多资产因主要受宏观因素驱动而本身就能反映某一类宏观风险,资产间的相关性趋于下降。

  换言之,近年以国内股债融合黄金、商品等的大类资产池本身就对“风险平价”配置框架的适用性上升。

广发证券:用宏观因子穿透资产  第48张

广发证券:用宏观因子穿透资产  第49张

  从资产的明细权重来看,债券类资产自2016年以来的占比是61.9%(轻量化配置模型、三因子配置模型分别是54.6%、47.8%),利率债占比37.8%、信用债占比24.1%;

  权益类资产的占比下降到了5%附近,其中A股资产(沪深300+中证500)平均权重为2.2%,港股资产为3.4%。(轻量化配置模型、三因子配置模型分别是10.2%、13.8%);

  商品资产占比有所下降,“南华农产品+南华沪铜+原油”三者自2016年以来的平均权重为14.6%(轻量化配置模型、三因子配置模型分别是20.3%、24.9%)。

  黄金占比小幅抬升,自2016年以来的平均权重为6.7%(轻量化配置模型、三因子配置模型分别是5.7%、5.6%)。

  纵向规律上也略有不同,近年权益资产权重变化不大,债券资产权重有所下降,商品与人民币权重上升。2021、2022年债券资产权重分别为80.6%、71.9%,但2024年以来降至48.0%;汇率层面的人民币权重从2020年的0.9%上升至2024年以来的30.7%;商品资产(南华农产品+南华沪铜+原油)权重从2022年的5.1%上升至2024年以来的14.4%。

  综合来看,多因子风险平价配置模型回报在时序维度上更具有分散性,但相较“增长+通胀”、“增长+通胀+宏观流动性”的三因子仍在债券资产上占有更多比重,并且近年来的分散化过程是向“非权益”资产分散,而前两者则是向权益资产分散。

  事实上,这也是在策略效果比较中,我们看到它波动率更低,具有三套因子配置模型中最高夏普(1.49 > 1.14 > 0.96)的原因。

广发证券:用宏观因子穿透资产  第50张

广发证券:用宏观因子穿透资产  第51张

  PART4 

  融合资产短期动量效应:考虑半衰期

  (一)半衰加权处理方式

  回顾策略构建过程发现,我们会在每个调仓期,使用过去180个交易日用于协方差估计,并进行月度调仓,这隐含着风格持续半年以上保持不变的假设。

  事实上,近年来市场风格短期变化剧烈,并不会维持很长的时间。因此,我们基于资产短期动量的思想,尝试将资产的短期动量效应应用到协方差的估计上。

  为了进一步提升组合的风险调整后的收益情况,我们对大类资产的协方差矩阵进行了半衰调整,赋予近期数据更高的权重。资产的波动率具有时变性和聚集性,当一段时间内的资产波动较大,未来一段时间往往跟着大的波动。对于历史样本数据,近期的资产收益率与波动率对当下市场的影响更大。考虑到波动率的时变性与聚集性,在对收益率矩阵的协方差矩阵进行估计时,可以使用时间衰减加权法(半衰权重法)。

  具体而言,以45个交易日为半衰节点,滚动计算180交易日里每45日的协方差矩阵,分别为;由于资产波动率具有自相关性与“聚集”效应,即大波动后跟随大波动,小波动与小波动聚集,近期的波动率(协方差矩阵)对当下配置更为关键。因此,距离当前的过去第一个“45日”协方差矩阵应被赋予更高的权重,第二个“45日”协方差矩阵的权重相应降低一些。我们将过去180个交易日的四个45交易日子矩阵分别赋予0.4、0.3、0.2、0.1的权重:

广发证券:用宏观因子穿透资产  第52张

  (二)半衰宏观因子风险平价策略回测结果

  从策略结果来看,“增长+通胀”的轻量化模型、“增长+通胀+流动性”的三因子模型在半衰模式下可以分别提高0.1%、0.4%的年化收益;若考虑10%固定配置现金的限制,则半衰模式可以分别提高0.3%、0.5%的年化收益。但叠加动量效应后,策略波动率也有所上升,两类模型的夏普比率均有小幅下降,但仍均维持在1以上。换言之,叠加半衰期设置可以是一种不增加杠杆模式下的收益增厚方向。

  广谱性的多因子配置模型在半衰模式下的表现有所分化,不考虑“美国名义增长”因子的多因子平价策略年化收益较非半衰模式下降1.5%,而考虑了“美国名义增长”因子的方案则较非半衰模式上升了0.2%。但后者具有更出色风险调整后收益,夏普比率基本上突破了此前因子平价模型中的1.5上限。满仓策略下,自2016年的夏普比率为1.68;若进一步固定15%现金配置以应对极端情形,则夏普比率为1.71。总结来看,多因子平价由于考虑风险因子更多,本身更具优势的就是风险调整后收益;而半衰期的作用是融合资产短期动量趋势,是收益增强的一种方式,两者综合之后,使得多因子风险平价模型获得较“轻量化”、“三因子”配置模型更优的夏普比率。

  分年度收益表现也可以看到,多因子配置模型在考虑了半衰期后每年的收益波动有所减少。月度收益表现也波动温和,月度收益基本上维持在[-1%,1%]之间变动。

广发证券:用宏观因子穿透资产  第53张

广发证券:用宏观因子穿透资产  第54张

广发证券:用宏观因子穿透资产  第55张

  PART5

  几点思考

  一则,宏观因子风险平价模型的有效性前提是,大类资产是宏观因子的线性函数,但事实上这更多是一种统计意义的简化。宏观因子与资产未来收益的关系同样是时变、具有不确定性的,并且可能并不呈现简单的线性特征。

  二则,宏观因子的高频化方式可能存在缺陷。直接采用资产指数或者资产多空组合来表示更高频的宏观因子,参考的是类似于CAPM模型或者Fama多因子模型的构造方式,比如任何股票都是市场宽基股指的线性函数。在单一市场内部,该方式用市场指数代替市场风险兼具简洁性和代表性;但拓宽至大类资产配置维度,权益资产本身作为一个整体,其与债券资产在增长因子上的暴露并不相同。

  三则,宏观因子风险平价的效果仍有待于增强,以及因子与资产的关系(风险暴露矩阵)的估算需要兼顾“动态性”与“稳健性。前者可以尝试进一步对平价的基准暴露进行适当偏离,或者融入其他择时模型。后者仍有待于寻找更优的方式估计因子与资产之间的“风险暴露矩阵”。从上文时序上的表现结果来看,因子风险平价在不同时期的效果存在一定差异,风险暴露矩阵的估计需要兼顾“动态性”;但滚动一定窗口期的传统动态做法可能使得结果并不稳健。

  风险提示:一是回归模型构建基于历史数据,可能在未来有较大经济冲击或者市场改变时可能存在误差;二是模型仍有待将各类参数进行敏感性分析,提高策略的稳健性;三是基本面层面可能存在明显改变预期的事件,比如国内地产政策效果不及预期;新一轮地方政府化债影响超预期;后续财政政策力度超预期等。